Lompat ke konten Lompat ke sidebar Lompat ke footer

Hasil Dari 64-1/3 / Hasil Dari 64 1 Adalah - (3125) 2/5 = (5⁵) 2/5.

Hasil Dari 64-1/3 / Hasil Dari 64 1 Adalah - (3125) 2/5 = (5⁵) 2/5.. Jordan veretout berhasil membubuhkan namanya di papan skor usai mencetak gol dari jarak dekat. Di dalam operasi hitung perpangkatan suatu perkalian dua bilangan terdapat rumus yang dapat digunakan untuk menentukan hasil dari suatu bilangan dengan menggunakan sifat yang seperti berikut ini: Bentuk sederhana dari √300 adalah. (a x b) m = a m x b m. Akar pangkat 2 144 12 karena 12 12 12 144 contoh.

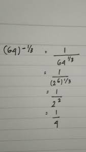
Penjelasannya aku kurang mengerti ? 64 x 3 = 192. Hasil dari 1 64 − 2 3 − 32 3 5 + 10000 1 4 adalah … a. Hasil dari 64 pangkat 2/3 adalah 16. 3125 bisa diubah menjadi 5 pangkat 5, jadi.

Hasil Akar Pangkat 3 Dari 64 Akarkua
Hasil Akar Pangkat 3 Dari 64 Akarkua from lh5.googleusercontent.com
Akar pangkat 2 144 12 karena 12 12 12 144 contoh. Hasil dari 30 2 + 31 2 =. 8 2 = 64 16 2 = 256 23 2 = 529 8 2 + 16 2 +23 2 = 64 + 256 + 529 = 849 2. Tabel 4.3di atas menunjukkan hasil pengukuran st atistik deskriptif terhadap variabel dari 64 responden. Penjelasannya aku kurang mengerti ? Perpangkatan adalah operasi perkalian secara berulang. Hasil dari 8 2 + 16 2 + 23 2 =. Folge deiner leidenschaft bei ebay!

View mamaaaaaaaaaa.docx from pa 752 at san francisco state university.

64 x 3 = 192. Terimakasih telah berkunjung dan semoga dapat bermanfaat. Dari contoh pengukuran di atas, angka 2,5 cm adalah angka pasti (terbaca oleh skala alat ukur), 0,5 mm adalah angka taksiran (tidak terbaca skala oleh skala alat ukur) dan hasil pengukuran (angka pasti + angka taksiran) 2,55 cm adalah angka penting. Maka kita dapatkan hasil angka 3 sebagai puluhan. Identificamos los siguientes números si se trata de un decimal exacto o periódico puro o mixto a)1,42 b)0,555 c)4,7777 d)0. Deret 125, 64, …, 8, 1, 0 ? × a ⇒ a nya sebanyak n faktor. Sehingga para sahabat bisa mengerti dan memahami soal akar pangkat 3. Perpangkatan adalah operasi perkalian secara berulang. Soal akar pangkat 3 pokok pembahasan artikel : Berapakah hasil dari 3125 2/5 ? Perpangkatan adalah operasi hitung perkalian suatu bilangan secara berulang. (5 x 2)² = (5 x 2) x (5 x 2) (5 x 2)² =(5 x 5) x (2 x 2) (5 x 2)² = 5² x 2².

Hitung cepat 3 3 3 3 4 n , maka nilai n adalah 1. Penjelasannya aku kurang mengerti ? 1 disebut bilangan kubik karena merupakan hasil dari 1 pangkat tiga (1 3) 8 disebut bilangan kubik karena merupakan hasil dari 2 pangkat tiga (2 3) 27 disebut bilangan kubik karena merupakan hasil dari 3 pangkat tiga (3 3) 64 disebut bilangan kubik karena merupakan hasil dari 4 pangkat. Soal akar pangkat 3 pokok pembahasan artikel : Identificamos los siguientes números si se trata de un decimal exacto o periódico puro o mixto a)1,42 b)0,555 c)4,7777 d)0.

Hasil Dari 64 2 3 1 3 Brainly Co Id
Hasil Dari 64 2 3 1 3 Brainly Co Id from id-static.z-dn.net
Kalau pangkat di pangkatkan lagi, itu artinya pangkatnya dikali. Deret 125, 64, …, 8, 1, 0 ? 1 disebut bilangan kubik karena merupakan hasil dari 1 pangkat tiga (1 3) 8 disebut bilangan kubik karena merupakan hasil dari 2 pangkat tiga (2 3) 27 disebut bilangan kubik karena merupakan hasil dari 3 pangkat tiga (3 3) 64 disebut bilangan kubik karena merupakan hasil dari 4 pangkat. 64 x 3 = 192. Masih sama dengan soal diatas. Hasil dari 64 pangkat 2/3 adalah 16. Di dalam operasi hitung perpangkatan suatu perkalian dua bilangan terdapat rumus yang dapat digunakan untuk menentukan hasil dari suatu bilangan dengan menggunakan sifat yang seperti berikut ini: Hasil dari 64 pangkat 2 per 3 adalah descargar mp3.

Play this game to review undefined.

Hasil dari 1 64 − 2 3 − 32 3 5 + 10000 1 4 adalah … a. Perpangkatan adalah operasi hitung perkalian suatu bilangan secara berulang. Penjelasannya aku kurang mengerti ? Jadi aⁿ artinya perkalian dari a sebanyak n faktor. 1 disebut bilangan kubik karena merupakan hasil dari 1 pangkat tiga (1 3) 8 disebut bilangan kubik karena merupakan hasil dari 2 pangkat tiga (2 3) 27 disebut bilangan kubik karena merupakan hasil dari 3 pangkat tiga (3 3) 64 disebut bilangan kubik karena merupakan hasil dari 4 pangkat. Sehingga para sahabat bisa mengerti dan memahami soal akar pangkat 3. Berkat hasil ini, manchester united untuk sementara menduduki peringkat empat di tabel klasemen dengan poin empat, sedangkan southampton menempati posisi 13 dengan koleksi satu poin. Akar pangkat 2 144 12 karena 12 12 12 144 contoh. Berapakah hasil dari 3125 2/5 ? Soal akar pangkat 3 pokok pembahasan artikel : Kalau pangkat di pangkatkan lagi, itu artinya pangkatnya dikali. Aⁿ × aᵐ = aⁿ⁺ᵐ. (3125) 2/5 = (5⁵) 2/5.

Hide 1 soal akar pangkat 3 1.1 latihan soal akar pangkat 3 latihan soal akar pangkat 3 no. Untuk bentuk dari bilangan yang berpangkat nol seperti di bawah ini. Play this game to review undefined. Hasil dari 30 2 + 31 2 =. Di dalam operasi hitung perpangkatan suatu perkalian dua bilangan terdapat rumus yang dapat digunakan untuk menentukan hasil dari suatu bilangan dengan menggunakan sifat yang seperti berikut ini:

Hasil Dari 64 1 3 Adalah
Hasil Dari 64 1 3 Adalah from edukasi-id.com
= 3³ = 27 (c) jadi, jika adik adik siswa/i khususnya masih dalam jenjang pendidikan yang masih binggung mengenai pertanyaan tersebut artikel dan lain lain, maka makalah pembahasan ini sudah cukup mewakili. View mamaaaaaaaaaa.docx from pa 752 at san francisco state university. Play this game to review undefined. Add your answer and earn points. Deret 125, 64, …, 8, 1, 0 ? 32 b.64 c.16 d.8 pliss ka :] 1 see answer birrudzirwatissanaya is waiting for your help. Hasil dari 30 2 + 31 2 =. 3 1728 3 19683 9.

Folge deiner leidenschaft bei ebay!

Bilangan pangkat tiga bilangan pangkat tiga atau sering disebut bilangan kubik merupakan bilangan. = (5) 5 × 2/5. View mamaaaaaaaaaa.docx from pa 752 at san francisco state university. 3√125 + 3√27 = 5 + 3 = 8 jawab : Terimakasih telah berkunjung dan semoga dapat bermanfaat. 4 + 4 + 4 + 4 =. Berapakah hasil dari 3125 2/5 ? Akar pangkat n dari x adalah. Hasil dari 3√125 + 3√27 adalah. 64 x 3 = 192. (3125) 2/5 = (5⁵) 2/5. Untuk bentuk dari bilangan yang berpangkat nol seperti di bawah ini. Pembahasan ketiga adalah bilangan yang berpangkat nol.

Posting Komentar untuk "Hasil Dari 64-1/3 / Hasil Dari 64 1 Adalah - (3125) 2/5 = (5⁵) 2/5."